根据学校教务处《关于发布<关于成立2022届本专科毕业生工作领导小组及毕业生相关工作安排的通知>的预通知》精神,确保sunbet申搏官方网站2022届毕业生顺利完成学业,sunbet申搏官方网站成立毕业生工作领导小组,具体实施毕业生各项工作,毕业生审核工作日程安排如下:
一、sunbet申搏官方网站2022届本科毕业生工作领导小组名单
组 长:赵晓军 李文胜
副组长:那日苏、王丹、郭旭红
组 员:阿拉木斯、苏日娜、娜日莎、段朝霞、黄通拉嘎、白杰、徐戌
二、sunbet申搏官方网站2022届本科毕业生审核具体工作及时间节点(预计)

注:以上工作具体完成时间及先后顺序会随学校、学院具体情况做适当调整,以最终完成时间为准。
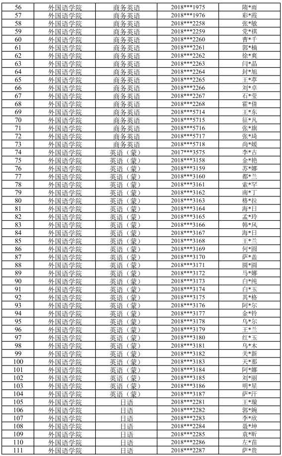
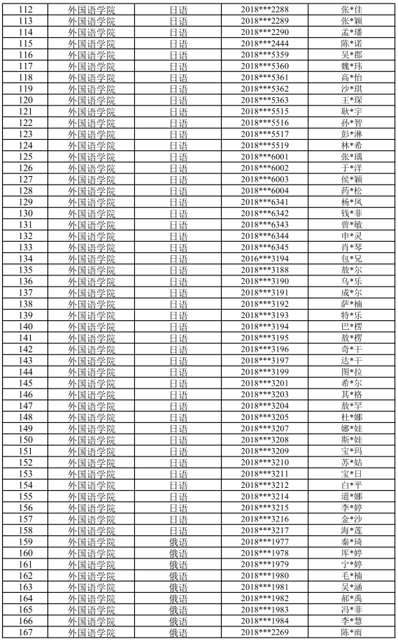
三、本届全部预计毕业生名单




sunbet申搏官方网站sunbet申搏官方网站
2022年4月8日